Bravellin Works EA

Automated execution built on discipline, not emotion.

Structured Automation

Bravellin Works EA is a digital automation software designed to execute predefined trading logic with consistency, controlled exposure, and structured risk management.

The objective is simple: remove emotional bias, maintain discipline, and execute strategy rules without hesitation.

Execution Philosophy

Markets are uncertain. What can be controlled is execution discipline. The system follows a structured price-based logic designed to operate within defined risk boundaries rather than emotional reaction.

  • Rule-driven entry and exit structure
  • Controlled position exposure
  • Predefined trade management logic
  • Focus on consistency over impulse

Designed for Real Conditions

Bravellin Works EA is developed with real-market execution in mind, accounting for volatility shifts and varying market environments.

  • Adaptable to different instruments
  • Configurable risk parameters
  • Built for MetaTrader 5 (MT5)
  • Continuously refined during active subscription

What You Get

Full System Access

Complete access to the Bravellin Works EA package, including installation guidance and configuration documentation.

Configurable Risk Control

Adjustable parameters allowing you to define exposure, risk tolerance, and trade behavior preferences.

Ongoing Improvements

Continuous updates and refinements during active subscription to maintain compatibility and performance structure.

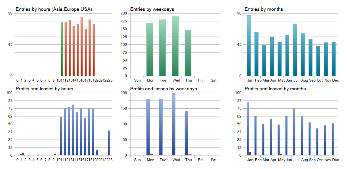
Software Demonstration Data

Demonstration data and historical execution logs are available for informational purposes. These records illustrate how the software operates under specific test configurations. Outcomes may vary based on user settings and market conditions.

MQL5
MQL5 Public Monitoring Page

View publicly available execution logs hosted on the MQL5 platform. These pages display historical activity for transparency purposes only.

  • ✔ Publicly accessible historical logs
  • ✔ Risk metric overview
  • ✔ Independent platform hosting
View on MQL5 →

For users interested in platform-based monitoring, additional options may be available directly on MQL5.

Telegram
Live Performance Updates

Follow our official Telegram channel where we publish daily performance updates, system activity, and operational insights for transparency.

  • ✔ Daily performance reports
  • ✔ Real trading activity updates
  • ✔ System announcements & insights
Track Daily Performance →

Updates are shared for transparency and informational purposes only. They do not constitute financial advice.

Trading involves risk. No automated system can eliminate market uncertainty or guarantee profits. Results vary depending on configuration, broker conditions, and market environment.

Backtest Demonstration — XAUUSD

Historical backtest demonstration using recorded tick data. This video illustrates how the software operates under defined test parameters.

Specifications & Requirements

Technical parameters and recommended configuration guidelines for software operation.
Software Configuration
PlatformMetaTrader 5 (MT5)
InstrumentXAUUSD
TimeframeAll Timeframe
Strategy TypeStructured Trend-Based Execution Algorithm (Non-grid logic) // Bravellin Works Professional Strategy
MartingaleNo
HedgingNo
Recommended Leverage1:200 (Optimal range 1:100 – 1:500)
Spread Requirement≤ 25 points preferred
Account & Risk Profile
Minimum Deposit$300 recommended for standard configuration testing purposes
Account TypeRaw Spread / ECN
Execution RequirementLow latency environment
Slippage Tolerance≤ 3 pips recommended
Average DrawdownHistorical test environment range
Risk ModelDynamic % Risk per trade (1% – 2%)
VPSRecommended
Latency< 10ms to broker server
Demonstration Context:Backtest video and statistical illustrations were generated using historical tick data under controlled testing conditions. These demonstrations are provided for informational purposes only and do not represent future results.

The most affordable pricing

Choose a subscription that fits your usage needs.

Starter

Flexible access

$20/mo
Save 0%
  • Access to core automation software featuresALL
  • Rule-based execution logic
  • Basic risk management controls
  • Max 5 accounts trade
  • Email-based support

Growth

Short-term savings

$55/3 mo
Save 9%
  • Everything in Starter
  • Enhanced risk-control parameters
  • Priority product updates
  • Max 10 accounts trade
  • Faster email support

Elite

Maximum savings

$169/yr
Save 30%
  • Everything in Pro
  • All future updates included
  • Long-term access with maximum savings
  • Max 40 accounts trade
  • Top-level priority support

Subscription grants access to the automation software and ongoing updates. This product does not provide financial advice or investment services. Trading involves risk and requires proper understanding.